- 时间点:
- 时 分 秒 当前视频时间点
- 问题:
-
- 选项一
设为正确答案
新增选项 - 选项一
- 正确跳转时间:
- 时 分 秒 同锚点时间
- 错误跳转时间:
- 时 分 秒 同锚点时间
恭喜你,回答正确~
很遗憾,回答错误~
正确答案: ,您可以
教材选自人教 A 版《普通高中课程标准实验教科书》数学选修 2.1.1《椭圆及其标准方程》,共两课时,本节是第一课时,主要完成椭圆定义及其标准方程的探索。
《椭圆及其标准方程》是继圆之后运用 “曲线和方程”理论解决具体的二次曲线问题的又一实例。 椭圆的标准方程是圆锥曲线方程研究的基础,它的学习方法对整个这一章具有导向和引领作用。我们要通过熟悉椭圆图象与方程,为后边的椭圆性质及双曲线、抛物线打好基础,它为我们研究双曲线、抛物线这两种圆锥曲线提供了基本模式和理论基础,因此,这节课有承前启后的作用,是本章和本节的重点。
学习本课《椭圆及其标准方程》前,学生已学习了直线与圆的方程,对曲线和方程的概念有了一些了解与运用的经验,对用坐标法研究几何问题也有初步的认识。所以学生基本具备独立探究有关点的轨迹问题的知识基础和学习能力。但由于学生学习解析几何时间还不长,且受高二这一年龄段学习心理和认知结构的影响,在学习过程中难免会遇到一些困难,再对于我们学校学生相对数学基础比较薄弱,独立解题能力也相对比较薄弱。但是在老师问题的引导与启发下,学生凭借原有的认知,采用类比与联想的方法,是可以通过自主探索、合作交流的形式完成本节的学习内容。
知识与技能:
理解椭圆标准方程的推导;掌握椭圆的标准方程;会根据条件求椭圆的标准方程,会根据椭圆的标准方程求焦点坐标.
过程与方法:
让学生经历椭圆标准方程的推导过程,进一步掌握求曲线方程的一般方法,体会数形结合等数学思想;培养学生运用类比、联想等方法提出问题.
情感态度与价值观:
通过具体的情境感知研究椭圆标准方程的必要性和实际意义;体会数学的对称美、简洁美,培养学生的审美情趣,形成学习数学知识的积极态度.
重点:椭圆的标准方程
难点:椭圆标准方程的推导

(一)图片感知 ,认识椭圆,体会椭圆之美。
生活中有椭圆,生活中用椭圆
(二)实验探究,形成概念
1.分组探究实验:
取一条定长的细绳,把它的两端固定在纸板的两点处(如图F1,F2),在细绳上套上一只铅笔,拉紧绳子,移动笔尖(动点M)
A组:当固定好的细绳的长度等于|F1F2 |时,移动笔尖(动点M),画出的轨迹是什么曲线?
B组:当固定好的细绳的长度大于|F1F2 |时,移动笔尖(动点M),画出的轨迹是什么曲线?
思考:当细绳的长度小于|F1F2 |时,你能得到笔尖(动点M)的轨迹吗?
2.再次观察几何画板中椭圆的形成过程并思考以下问题:
(1)绳子两端点的位置是固定的还是运动的?
(2)绳子的长度变了没有?
(3)绳子长度与两定点的距离大小有怎样的关系?
3.探究结论:椭圆的定义
平面内到两个定点F1、F2的距离的和等于常数(大于|F1F2 |)的点的轨迹叫椭圆。这两个定点F1、F2叫做椭圆的焦点,两焦点之间的距离叫做椭圆的焦距。
如果设轨迹上任一点M到两定点F1、F2的距离和为常数2a,两定点之间的距离,即焦距为2c,则椭圆定义可以表示为:
|MF1 |+|MF2|=2a(2a>2c>0)
(三)类比探究,得出椭圆的标准方程
根据求动点轨迹方程的一般步骤:
建系 、设点、 列式、 化简
1.椭圆标准方程的推导
①想一想:如何建立椭圆的平面直角坐标系呢?
以直线F1F2为轴,线段F1F2的垂直平分线为y轴,建立如图所示的平面直角坐标系

思考:当椭圆焦点在y轴上时,它的标准方程是怎样呢?

四.夯实基础 灵活运用
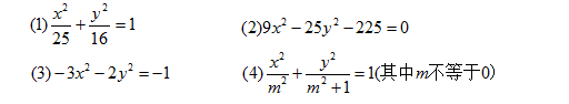
例1、下列方程哪些表示的是椭圆,如果是,判断它的焦点在哪个坐标轴上?

例3、写出适合下列条件的椭圆的标准方程
已知两个焦点的坐标分别是(-4,0)、(4,0),椭圆上一点P到两焦点距离的和等于10;
变式一:将(1)中焦点坐标改为(0,-4)、(0,4), 结果如何?
变式二:将(1)中焦点坐标改为两个焦点的距离为8,结果如何?
五.小结
焦点在x轴的椭圆,x2 项分母较大.
焦点在y轴的椭圆,y2 项分母较大.


设为正确答案