- 时间点:
- 时 分 秒 当前视频时间点
- 问题:
-
- 选项一
设为正确答案
新增选项 - 选项一
- 正确跳转时间:
- 时 分 秒 同锚点时间
- 错误跳转时间:
- 时 分 秒 同锚点时间
恭喜你,回答正确~
很遗憾,回答错误~
正确答案: ,您可以
《黄金分割》选自人教版九年级上册第二十一章21.2中阅读与思考的内容。在学习黄金分割之前,学生已经掌握了线段的比、成比例线段以及一元二次方程解法的知识。虽然,对于黄金分割的概念比较陌生,但是,通过信息技术可以充分展示相关的知识点,帮助学生加深对本片段知识点的理解与应用,体会黄金分割的美学价值。
片段教学内容是面向初中生,根据初中生的学习特点和数学能力,经常忽视了数学美。这里针对这个问题,将对黄金分割分为五个活动进行展开,体会黄金分割的美学价值。
知识与技能目标:求出黄金分割,理解黄金分割的定义并能进行简单的实际应用。
过程与方法目标:通过观察、交流与合作等数学活动,培养学生发现、分析、解决问题的能力,培养学生的动手和思维能力.
情感态度与价值观:通过黄金分割的定义的学习,培养学生合作意识,增强学生学习数学自信心,提高学生审美高度,比如,黄金分割的比例性,艺术性,和谐性,蕴藏这丰富的美学价值。
教学重点:求黄金分割,理解黄金分割的定义并能进行简单的实际应用。
教学难点:求黄金分割,理解黄金分割的定义。

提高课堂的教学效率,需要有效的课堂活动,因此,本片段教学采用通过以下几个活动了解黄金分割之美.

(一)发现黄金分割的美
上课伊始,出示两组图片。

师:同学们,首先我们欣赏两幅图片,前面一张是上海著名的?
生:东方明珠塔。
师:第二张呢?
生:加拿大的多伦多塔。
师:它们是中西方地标性建筑。现实生活中,它们的高度是不同的,倘若现在我们将它们缩放到等高时,在设计上,上面的小球有什么共同之处呢?(教师边说边展示以下图片)

生:上面两个球在同一高度。
师:这是为什么呢?这就需要黄金分割的知识给大家解开疑惑。在数学中,我们经常把生活中的事物抽象化转化为数学问题,这样我们可以把塔抽象成———
生:一条线段。
师:球可以———
生:抽象成线段上的一点。
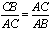
师:很好,老师通过查阅资料并计算可以得到
,
也就是这两幅图中都有较短的线段与较长的线段之比等于
生:较长的线段与全线段之比。
师:对于符合这样一个关系的比就叫做黄金分割比,其中的点C叫做黄金分割点。
【设计意图】初三年级的学生还处于求知欲比较旺盛的时期,同时又具备一定的探索精神和质疑精神。本次片段教学以中西方不同的地标性的建筑出发,使学生发现问题,快速激发学生强烈的好奇心和求知欲,且可以提高学生的文化素养。然后,学生通过给出的两个比例的结果自然地引入课题:《黄金分割》.在知识的生成过程中,引导学生要用数学的眼光、思想、语言来解读黄金分割之美.为后续探究黄金分割做准备。
(二)探究黄金分割的美
黄金分割的定义:一般地,点C把线段AB分成两条线段AC和BC(AC>BC),如果
,那么称线段AB被点C黄金分割。点C叫做线段AB的黄金分割点,
叫做黄金比,为
≈0.618 。

师:接下来,进行小组讨论。任务是请同学们算一算这个比值,并把求解过程写在本子上,时间为3分钟。(计时器计时,老师在旁边巡视并作指导)
师:哪个小组愿意分享你们讨论的结果?(学生举手,并进行展示)
生:(展台进行展示,学生进行过程的讲解)
如图,
如图,设AC=x,则BC=1-x,
由
, 列方程得:![]()
化为整式方程得:
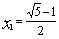
解得,
,
(不符合实际意义,舍去)
从比值上理解:
师:讲解的非常好,大家掌声鼓励(全班学生鼓掌)。现在我们得到了黄金比的准确值为
,约等于0.618。为了检测大家学习的成果,下面我们请两位同学进行一组PK游戏,看看谁是今天的幸运儿呢?(与此同时出示希沃白板的游戏,并使用随机点名器进行抽取学生,上讲台进行游戏)


师:(玩完游戏后)请其中一位同学留步,你能为同学们解释一下这几道题错在哪?(学生进行分析,讲出错误原因)
【设计意图】首先给出黄金分割的概念,然后进行黄金分割的计算,让学生进行小组讨论的形式进行展开,自主探究求黄金分割的过程,并进行小组展示,展示过程中应用了同屏技术展示小组讨论的结果。充分调动学生的主观能动性,增强小组合作的意识。接着,教师通过使用希沃白板的点名器抽取学生,学生通过希沃白板小游戏进行黄金分割知识点的巩固,激发学生的参与度以及学习兴趣,为后面黄进分割的应用做准备。
(三)应用黄金分割之美
师:现在我们已经知道东方明珠塔和多伦多塔都运用了黄金分割,那么黄金分割在我们生活中还有哪些应用呢,我们看身边的同学发现了什么?(学生展示课前作业:课前学生自己查找黄金分割的相关资料,并结合生活中具体的实物分享黄金分割知识点的应用,录制成视屏,在班级进行分享)
,
师:黄金分割真是无处不在啊,前不久我国外交上取得了一个伟大胜利,那就是孟晚舟女士回国,有摄影师拍下了这一张经典的照片,你能找一找其中的黄金分割吗?(让学生进行发言)

师:从中我们可以看出,数学并不是孤立的,是与生活息息相关的,通过今天的学习,希望同学们以后会用数学知识去装点和美化生活。
【设计意图】以上通过播放学生查阅黄金分割资料后所录制的相关实际应用的视频,不但让学生体会黄金分割实用价值与美学价值,而且让学生体会数学与生活之间的联系以及数学知识所蕴含的人文内涵。随后,教师通过孟晚舟回国的照片,不仅让学生找到黄金分割相关的图形,加强学生对黄金分割知识点的理解,还使用最近的热点时事以及五星红旗的设计,升华到对学生进行爱国教育的渲染以及培养关注时事的习惯。
(四)总结黄金分割之美
师:今天这堂课大家有什么收获呢?(学生一起回答)
【设计意图】教师引导学生回顾本小结的课堂内容,总结收获.
(五)实践黄金分割之美
师:接下来给大家布置个实践作业:利用黄金分割知识点,给妈妈挑选一双合适高度的高跟鞋。
【设计意图】教师通过布置给妈妈挑选一双合适高度的高跟鞋的实践作业,一方面使学生巩固今天学习的黄金分割的知识点,另一方面,学生自己通过求解出妈妈最合适的高跟鞋进行实践,更加能够使学生体会到数学不仅仅来源于生活还服务于生活,从获得成就感,提高学生对数学的兴趣和热情。
三、 板书设计

【设计意图】简单明了地板书本片段教学中教与学的内容.
设为正确答案